ABONAMENTE VIDEO REDACȚIA
RO
EN
NOU
Numărul 166
Numărul 165 Numărul 164 Numărul 163 Numărul 162 Numărul 161 Numărul 160 Numărul 159 Numărul 158 Numărul 157 Numărul 156 Numărul 155 Numărul 154 Numărul 153 Numărul 152 Numărul 151 Numărul 150 Numărul 149 Numărul 148 Numărul 147 Numărul 146 Numărul 145 Numărul 144 Numărul 143 Numărul 142 Numărul 141 Numărul 140 Numărul 139 Numărul 138 Numărul 137 Numărul 136 Numărul 135 Numărul 134 Numărul 133 Numărul 132 Numărul 131 Numărul 130 Numărul 129 Numărul 128 Numărul 127 Numărul 126 Numărul 125 Numărul 124 Numărul 123 Numărul 122 Numărul 121 Numărul 120 Numărul 119 Numărul 118 Numărul 117 Numărul 116 Numărul 115 Numărul 114 Numărul 113 Numărul 112 Numărul 111 Numărul 110 Numărul 109 Numărul 108 Numărul 107 Numărul 106 Numărul 105 Numărul 104 Numărul 103 Numărul 102 Numărul 101 Numărul 100 Numărul 99 Numărul 98 Numărul 97 Numărul 96 Numărul 95 Numărul 94 Numărul 93 Numărul 92 Numărul 91 Numărul 90 Numărul 89 Numărul 88 Numărul 87 Numărul 86 Numărul 85 Numărul 84 Numărul 83 Numărul 82 Numărul 81 Numărul 80 Numărul 79 Numărul 78 Numărul 77 Numărul 76 Numărul 75 Numărul 74 Numărul 73 Numărul 72 Numărul 71 Numărul 70 Numărul 69 Numărul 68 Numărul 67 Numărul 66 Numărul 65 Numărul 64 Numărul 63 Numărul 62 Numărul 61 Numărul 60 Numărul 59 Numărul 58 Numărul 57 Numărul 56 Numărul 55 Numărul 54 Numărul 53 Numărul 52 Numărul 51 Numărul 50 Numărul 49 Numărul 48 Numărul 47 Numărul 46 Numărul 45 Numărul 44 Numărul 43 Numărul 42 Numărul 41 Numărul 40 Numărul 39 Numărul 38 Numărul 37 Numărul 36 Numărul 35 Numărul 34 Numărul 33 Numărul 32 Numărul 31 Numărul 30 Numărul 29 Numărul 28 Numărul 27 Numărul 26 Numărul 25 Numărul 24 Numărul 23 Numărul 22 Numărul 21 Numărul 20 Numărul 19 Numărul 18 Numărul 17 Numărul 16 Numărul 15 Numărul 14 Numărul 13 Numărul 12 Numărul 11 Numărul 10 Numărul 9 Numărul 8 Numărul 7 Numărul 6 Numărul 5 Numărul 4 Numărul 3 Numărul 2 Numărul 1
×
▼ LISTĂ EDIȚII ▼
Numărul 53
Abonamente

Frameworkuri esențiale în agilitate

Gelu Vac
Fractional CTO & Tech Strategist @ MedicalPilot



PROGRAMARE


În ciuda bunelor intenții ale tuturor, parcă ignorând tot efortul depus și relevanța ideilor puse în joc, extrem de multe proiecte sfârșesc prin a crea produse pe care nu și le dorește nimeni, nu le-a cerut nimeni și/sau nu pot fi vândute.

Care ar putea fi cauzele unor astfel de situații, având în vedere că trăim într-o societate tot mai metricizată, super-expusă proceselor și modelelor formale de organizare care practic garantează o expunere minimă la risc din punct de vedere al ratei de succes?

Economia psihologică (Psychology economics)

Dicționarul definește "economia" ca pe o "știință socială care se ocupă mai ales cu descrierea și analiza producției, distribuției și consumului de bunuri și servicii".

O altă definiție interesantă a economiei este "studiul modului în care oamenii iau decizii în situații de resurse limitate". Această definiție se potrivește foarte bine celor mai multe ramuri ale economiei clasice.

Astfel, macroeconomia este studiul modului în care oamenii iau decizii în situații cu resurse limitate la nivel național sau global. Se ocupă cu efectele deciziilor pe care le iau liderii națiunilor legat de cuantumul taxelor, cuantumul dobânzilor și politica externă și de comerț.

Iar microeconomia este studiul modului în care oamenii iau decizii în situații de resurse limitate la nivel personal. Se ocupă cu deciziile pe care le iau indivizii și organizațiile în legătură cu expunerea la risc, în ce echipamente să investească sau ce tarife să perceapă pentru produsele și serviciile pe care le oferă.

Asemeni teoriei jocurilor, economia psihologică extinde în mod clar gama de fenomene pe care economiștii le pot studia cu succes și pot face aceasta în ceea ce este în mod evident spiritul economiei. Și așa cum vom vedea mai departe, similar teoriei jocurilor, economia psihologică este destinată să fie absorbită în economie și nu să rămână ca o abordare alternativă.

Cum pot economiștii să îmbrățișeze tot ceea ce este bun în economie și în același timp să se dedice unor concepte mai realiste ale naturii umane deoarece se referă la situații economice? Metodele de analiză economică cum ar fi individualismul metodologic, formalizarea matematică a presupunerilor, analiza logică a consecințelor acestor presupuneri și testarea experimental sofisticată și empirică la nivelul industriei, au multe virtuți. Dar aceste metode creează un rău necesar: trebuie să folosim modele cognitive super-simplificate și stilizate.

Acum ne vom concentra asupra câtorva modele deja consacrate și des întâlnite în ecosistemul economic și industrial contemporan.

Funcții de utilitate (Utility functions)

Este un concept important care măsoară preferințele asupra unui set de bunuri și servicii. Deoarece satisfacția și bunăstarea sunt concepte extrem de abstracte, specialiștii măsoară utilitatea în termeni de preferințe demonstrate prin observarea alegerilor consumatorului și crearea ordonării coșurilor de consum de la cel mai puțin dorit la cel mai mult dorit.

Noțiunea de azi presupune exprimarea utilității ca funcție a cantităților de bunuri consumate, tratate fie cardinal fie ordinal. Alegerea uneia dintre abordări cardinale/ordinale se realizează în funcție de faptul dacă acestea sunt sau nu sunt interpretate ca oferind mai multe informații decât pur și simplu ierarhizarea preferințelor peste pachete de mărfuri, cum ar fi informații cu privire la puterea preferințelor.

Economia comportamentală (Behavioral economics)

Studiază efectele factorilor psihologici, sociali, cognitivi și emoționali asupra deciziilor economice ale indivizilor și instituțiilor și a consecințelor lor asupra prețurilor pieței, veniturilor și alocării resurselor. Acest tip de economie vizează de asemenea și impactul diferitelor tipuri de comportament, în diverse medii cu valori experimentale variate.

Frameworkul pentru modificarea presupunerilor ne-realiste (the framework for modifying unrealistic assumption)

Există multe presupuneri pe care le fac economiștii în legătură cu natura umană, dar pe care cercetările comportamentale și psihologice sugerează că ar fi extrem de greșite. Printre aceste presupuneri se spune că oamenii:

Scopul economiei psihologice este de a investiga aceste abateri fundamentate comportamental de la aceste ipoteze care par a fi relevante din punct de vedere economic. Pentru un cadru de referințe mai concret, gândiți-vă la următoarea formulare a modelului economic clasic de decizie individuală, în care incertitudinea este integrată ca stadii probabilistice ale lumii, cu o funcție utilitară care ar putea depinde de aceste stadii ale lumii și presupunerea că persoana își maximizează valoarea așteptată:

unde X este decizia luată, S este spațiul stării, π(s) sunt credințele subiective ale persoanei, actualizate după regula lui Bayes și U sunt preferințele stabile și bine-definite. Din această caracterizare a unui model clasic, putem categorisi fenomenele psihologice în trei segmente:

  1. Noi presupuneri despre preferințe - cum arată de fapt U(x\|s)?

  2. Euristice și prejudecăți de raționament - cum își formează de fapt oamenii credințele p(s)?

  3. Lipsa "maximizării stabile a utilității" - oare oamenii chiar reacționează după formula Max?

Aceste scopuri vizează identificarea cu precizie a detașărilor necesare, semnalând cât mai exact cu putință unde și cum premisele economice clasice au deviat. Ca întotdeauna, această tensiune dintre claritate/îngustare conceptuală versus veridicitatea realității comportamentale și psihologice este o problemă fundamentală în modelarea economică.

Prima categorie de detașări este pentru a identifica modalități prin care putem face U(x\|s) mai realist, păstrând prezumția că credințele π(s) iau naștere rațional și că oamenii maximizează complet rațional ecuația dată. Exemplele includ prezumția că oamenii dețin o utilitate bazată pe referințe - sunt sensibili la schimbări (în bogăție, consum, proprietate, sănătate, etc. ), nu doar la nivele absolute. De asemenea, includ utilitatea neașteptată - potrivit căreia preferințele nu sunt lineare în π, ca și în ecuația de mai sus, ci mai degrabă maximizează o formă mai generică U(x\|π).

Cea de-a doua categorie de detașări sunt modalități potrivit cărora oamenii își formează mai degrabă credințe potențial distorsionate p(s) despre lume decât să-și creeze credințe π(s) printr-un raționament Bayesian potrivit. Cercetările despre raționament în condiții de incertitudine identifică euristic și prejudecăți în formarea credințelor potențiale.

Cea de-a treia categorie de modificări de prezumții vizează luarea în considerare a acelor rezultate psihologice care sugerează că ar putea să nu existe preferințe stabile, bine-definite, nemodificabile în timp, dar și a preferințelor "hedonic corecte" U(x\|s) cum ar fi comportamentul descris ideal prin presupunerea că oamenii își maximizează .

Aici exemplele includ explorarea modalităților potrivit cărora oamenii prezic greșit sau își amintesc greșit propria utilitate - există șabloane identificabile despre cum oamenii percep greșit viitorul propriului gust (respectiv, subestimează cât de mult li se vor schimba gusturile), și chiar despre cum își evaluează nivelul de trai din episoade trecute (respectiv, au tendința de a sub-dimensiona durata episodului).

Frameworkul pentru diminuarea utilității marginale a averii (diminishing-marginal-utility-of-wealth framework)

Chiar nu există o funcție sănătoasă de utilitate în cadrul utilității așteptate, care te determină să refuzi pariuri de $100/$110. Orice astfel de funcție de utilitate prezice aversiune sporită față de risc.

Pierderea unui pariu de $20, pierderea unui ceas pe care l-am achiziționat recent sau o pierdere de $10.000 la bursă în aceeași săptămână te fac să te simți rău, dar determină tendința de a te simți și mai rău, din cauză că gândim prea rar într-o perspectivă pe termen lung - în care aceste pierderi vor fi mai mult ca sigur șterse pe termen lung de alte câștiguri.

Preocuparea pentru ceilalți

Actorii economici sunt cel mai adesea auto- interesați. Dar, așa cum mulți economiști au recunoscut de-a lungul anilor, auto-interesarea, oricât de redus definită în aproape toate modelele economice, nu este totul în motivația umană. Mai mult, devierile de la ipoteza auto-interesării au potențialul de a fi interesante pentru economie , pentru probleme ca înțelegerea reacțiilor pe termen scurt la schimbările prețurilor pieței, a economiei politice și în special piața muncii.

O simplă ipoteză despre cum oamenilor le pasă despre bunăstarea celorlalți este naturală pentru economiști și are cea mai lungă istorie în economie: Altruismul - preocuparea pozitivă pentru ceilalți la fel ca și pentru propria persoană. Altruismul poate fi general sau țintit, se poate să-ți pese despre bunăstarea tuturor sau doar a unui grup restrâns (prieteni, familie).

Dar un astfel de altruism nu este adecvat pentru a înțelege multe comportamente. Două alte aspecte ale preferințelor sociale apar proeminent în dovezile psihologice și economice experimentale recente. Primul: oameniilor le pasă despre corectitudinea și echitatea distribuirii resurselor, dincolo de modalități care să le mărească bunăstarea directă totală. Al doilea: oamenilor le pasă despre intenții și motive, și vor să răsplătească egal comportamentul bun sau rău al altora.

Frameworkul utilității așteptate (expected-utility framework)

Frameworkul clasic al utilității așteptate prezice în esență neutralitatea riscului asupra mizelor non-uriașe. Atitudinile noastre față de risc sunt în schimb în principal atitudini față de schimbarea nivelului de bogăție.

Modul în care oamenii izolează instanțe separate ale câștigurilor și pierderilor bănești are legătură cu o problemă economică majoră. Probabil cea mai des folosită presupunere în economie este aceea că "aversiunea față de risc" derivă din diminuarea marginală a utilității averii în cadrul modelului de utilitate așteptată: U"(w) \< 0.

Dacă, să zicem, îți displace un risc de 50/50 să pierzi $100 sau să câștigi $110, nu este din cauza schimbării valorii marginale a consumului datorat unei scăderi de $100 sau creșteri de $110 a averii personale. Este pur și simplu o schimbare mult prea mare în utilitatea marginală pentru o schimbare mult prea mică a averii.

Actuala ta avere este o creație stohastică complexă cu o uriașă semnificație și variație. Iar reacția ta față de o pierdere de $100 nu reprezintă diferența în utilitatea așteptată a duratei de viață anticipate dintre distribuția stohastic complexă a averii existente și noua distribuție a averii corespunzătoare mutării celor $100 din această mare distribuție complexă. Mai exact, ceea ce este remarcabil pentru tine este senzația ta de a pierde $100.

Referința dependentă poate fi explicată simplu ca o nouă ipoteză despre preferințe. Definind pe c ca un vector al tuturor nivelelor de bogăție sau consum de bunuri sau activități și pe r ca pe un vector al nivelelor de referință în aceleași dimensiuni, încorporând referința dependentă în teoria utilității implică pur și simplu o translatare de la funcția U(c) la U(c,r).

Preocuparea pentru schimbare

O caracteristică esențială a oamenilor este că suntem extrem de sensibili la schimbările în propriul context, nu doar în valori absolute. Noi putem resimți frigul mai puternic, chiar și în aceeași ținută, în cazul în care sunt 10 grade vara decât în cazul în care sunt 7 grade în timpul iernii.

Acest fapt despre natura umană domină preferințele. De exemplu, senzația noastră de "stare de bine" din totalul consumului nostru nu este doar o funcție de nivel, dar de asemenea despre cum acel nivel se compară cu ceea ce suntem noi obișnuiți.

Fenomenul asociat de adaptarea hedonică este un fapt primar despre natura umană: chiar și pentru evenimentele majore din viață, odată ce se ajunge la o nouă stare de echilibru, avem tendința de a reveni la nivelul hedonic anterior. Așadar, evenimentul de a deveni bogat, și nu doar a fi bogat, poate adeseori să fie o sursă majoră de satisfacție și odată ce ne obișnuim cu noul standard de viață, am putea, cu fiecare zi care trece să nu mai fim la fel de fericiți ca și atunci când eram săraci.

În vreme ce identificarea și măsurarea modului în care ce simțim despre schimbări este un domeniu activ de cercetare, un aspect central al preferințelor noastre bazate pe referință este cunoscută ca fiind crucială: aversiunea față de pierdere. Senzația de pierdere în raport cu starea de fapt și alte puncte de referință se conturează foarte bine în raport cu câștigurile.

Frameworkul maximizării utilității (utility-maximization framework)

Oamenii care resping oferte neloiale în fața provocărilor, au ales de fapt conștient între două rezultate, pe cel preferat de ei.

În calitate de concept economic, presupune tendința de maximizare a valorii totale derivată dintr-un buget disponibil, respectiv în procesul de a lua o decizie de achiziție, un consumator va încerca să obțină cea mai mare valoare posibilă investind cât mai puțini bani.

Preocuparea pentru sine

Deviațiile de la propriul interes sunt direct compatibile cu frameworkul maximizării utilității.

Pentru mulți dintre noi, să vedem un subiect experimental sacrificând să spunem $8, pentru a pedepsi o ofertă neloială de ($92, $8) dintr-o negociere, pare pur și simplu o preferință pentru alocarea ($0, $0) față de ($92, $8) sub presiunea represaliilor. Pur și simplu nu este nimic șocant ca cineva să sacrifice $8 pentru a pedepsi un ticălos care vrea să împartă $100 în $92/$8 în loc să împartă $50/$50 (sau măcar $60/$40).

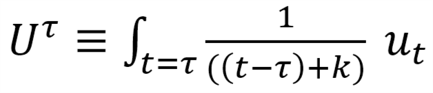
Frameworkul reducerii exponențiale (exponential discounting framework)

Pentru a modela formal preferințele inter-temporale, fie Uτ notația pentru "preferințele inter-temporale" și fie ut utilitățile instantanee. Economiștii presupun reducerea exponențială:

unde r > 0 este un parametru. Prima alternativă de reducere exponențială propusă de psihologi și alții care încearcă să capteze preferințele prezent-părtinitoare a fost reducere "hiperbolică":

unde k > 0 este parametru. Parțial din cauză că este greu de lucrat cu funcția de reducere hiperbolică în timp continuu și parțial din cauză că forma funcțională specifică a reducerii hiperbolice nu este nici literalmente corectă, nici foarte importantă. Cercetătorii au modelat preferințele prezent-părtinitoare cu ajutorul următoarei funcții discontinue timp-discrete:

pentru toate t, , unde parametri β și δ sunt mai mici decât 1, iar δ foarte aproape de 1. Modelul exponențial timp-discret corespunde la β = 1.

Preocuparea pentru acum

Oamenilor le place să experimenteze lucruri plăcute devreme și să amâne lucrurile neplăcute pe mai târziu. Pentru a capta această preferință pentru apreciere mai devreme decât mai târziu, economiștii tradiționali modelează astfel de gusturi presupunând că oamenii scontează exponențial fluxuri de utilitate în timp.

Dar forma exponențială de reducere are o proprietate specială care a fost demonstrată în mod repetat ca fiind falsă. Este vorba despre forma funcțională unică, care generează preferințe consecvente în timp, unde preferințele dintre două oricare două compromisuri legate de bunăstarea de moment - între, să zicem, obținerea de satisfacții mai puține mai devreme versus satisfacții mai mari mai târziu - este aceeași, indiferent de momentul interogării. Dovezile comportamentale, prin contrast, arată cu o majoritate covârșitoare că oamenii manifestă preferințe prezent-părtinitoare.

Să considerăm, de exemplu, următoarele două șabloane de alternative de lucru:

Și să presupunem că toate costurile de oportunitate ale timpului, inutilitatea muncii, productivitatea muncii, etc., sunt toate identice atât pe 1 Aprilie, cât și pe 2 Aprilie.

Dacă am fi întrebați să facem alegerea de mai sus pe 1 Ianuarie, cu siguranță vei prefera prima alegere, deoarece implică mai puțină muncă per total. Dar dacă am fi întrebați pe 1 Aprilie, sunt toate șansele să o alegi pe a doua, deoarece trebuie să legi acum între 7 ore de muncă azi și 7.7 ore de muncă mâine.

Cum sunt aceste preferințe timp-inconsistente? Ele prezic cu exactitate comportamentul discutat în exemplul de mai sus, de exemplu, dacă atribuim β = 0,8 și δ ≈ 1, dacă presupunem că disutilitatea muncii este lineară în ore lucrate. 7,7 ore de lucru peste 91 de zile generează disutilitatea percepută de 0,8 x 7,7 ≈ 6,2, care este mai puțin decât disutilitatea percepută de 7,0 azi.

Să presupunem că [u(relaxare) - u(7,7 ore de muncă)] ≥ 1,1 [u(relaxare) - u(ore de muncă)]. Aceasta, presupunând pur și simplu că există disutilitatea non-descrescătoare a muncii. Atunci, dacă încercăm să explicăm preferința pentru 7,7 ore de muncă mâine față de 7 ore de muncă azi cu reducere exponențială, atunci trebuie să presupunem un factor de reducere anuală de δ \< 0, 00000000000000002. Această concluzie vine din adevărul aritmetic că 0,9365 ≈ 2 x 10-17. Reducând cu 10% de la o zi la alta înseamnă - dacă presupunem că reducerea va fi la aceeași valoare pentru fiecare zi - că pe durata unui an vom sconta la o rată de 0,9365. În vreme ce acesta este un factor de reducere ridicol (și contra-factual comportamental), știm că reducerea observată nu este consistentă cu reducerea exponențială.

Folosind alte exerciții aritmetice ușoare similare - cum ar fi să observăm că 0,99365 < 0,026, 0,9931 < 0,74, și 0,999365 < 0,7 - putem vedea un gust chiar mai puțin extrem pentru satisfacția imediată.

Concluzii

Pentru orice acțiune naturală există un scop și un context natural care a dus la manifestarea ei. Vom numi acest context, framework, și îi vom atribui responsabilitatea atingerii scopului.

Un produs nu este livrat de un om sau de o echipă, ci de un întreg angrenaj. Pentru a avea un Client mulțumit, agilitatea trebuie să se manifeste în absolut toate fazele de interacțiune cu Clientul: de la negociere, ofertare și contractare până la livrare, garanție și service post-garanție. Mai mult, bugetul unui proiect nu este o variabilă a proiectului, ci este una dintre constrângeri. La fel și termenul de livrare.

Agilitatea este un framework pentru reducerea nivelului de formalizare și NU un nou model formal de administrare a unui flux de producție.

Un manager trebuie să fie în primul rând liantul echipei și referința primordială la nivel de comportament. Modelul. El nu este "superiorul" membrilor echipei, ci persoana responsabilă de succesul și performanțele echipei - sau eșecurile ei, deopotrivă.

Evaluarea performanțelor nu trebuie făcută pe intervale mici (zilnic) în coliziune cu preocuparea primară a membrilor echipei, ci este nevoie de viziune pe termen lung și creșterea continuă a stimulilor motivaționali la nivelul întregii echipe.

Evaluarea candidaților trebuie să aibă dincolo de aspectul tehnic, o componentă culturală reprezentativă a micro-climatului creat în echipa deja existentă - iar ulterior, raportarea la membrii unei echipe trebuie să fie echidistantă, dincolo de preferințe și interese personale.

Implicarea în orice proiect trebuie să fie complet altruistă: noi nu livrăm proiecte pentru noi, ci pentru clientul care a făcut comanda și a bugetat efortul. Nu doar că putem, dar avem datoria profesională să participăm cu inovație și creativitate în proiect, dar cu condiția să fie utilă și pe gustul clientului.

Deciziile luate în cadrul unei echipe trebuie să aibă valoare de reciprocitate - orice decizie produce efecte care trebuie asumate de întreaga echipă.

Bibliografie

  1. "Principles behind the Agile Manifesto", http://www.agilemanifesto.org/principles.html;

  2. Rabin, Matthew; Department of Economics, University of California-Berkley, "A perspective on Psychology and Economics", Forthcoming, European Economic Review, November 23, 2001;

  3. Rabin, M., March 1998, "Psychology and economics", Journal of Economic Literature (XXXVI), 11-46;

  4. Rabin, M., September 2000, "Risk aversion and expected-utility theory: a calibration theorem", Econometrica 68(5), 1281-1292;

  5. Boehm, Barry W.; Software Information Systems Division, TRW Defense System Group, "Software Engineering Economics", April 26, 1983;

  6. The Behavioral Economics Guide, Alain Samson et al., 2014

Conferință TSM

NUMĂRUL 165 - CyberSecurity & AI

Sponsori

  • BT Code Crafters
  • Betfair
  • MHP
  • .msg systems
  • P3 group
  • Cognizant Softvision
  • BMW TechWorks Romania

INTERVIURI